Kocaeli’den gitmek isteyenler dikkat! İşte yeni ulaşım tarifesi
Kocaeli Büyükşehir Belediyesi "Şehirlerarası Yolcu Taşıma Fiyat Listesi” yayımladı. Listeye göre, pek çok ilin bilet fiyatları yine arttı.
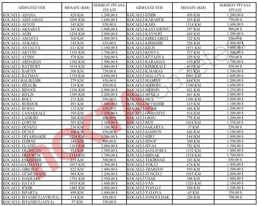
Akaryakıtta yaşanan dalgalanma şehirlerarası otobüs bilet fiyatlarının sürekli değişmesine sebep oluyor. Enflasyondan en çok etkilenen sektörlerin başında gelen karayolu seyahat sektöründe artan akaryakıt fiyatları ve diğer giderler nedeniyle şehirlerarası otobüs firmaları bilet fiyatlarına sıkça zam yapıyor. Kocaeli Büyükşehir Belediyesi tarafından Ekim ayına ilişkin "Şehirlerarası Yolcu Taşıma Fiyat Listesi” yayınlandı.
YENİ TARİFE
Kocaeli Büyükşehir Belediyesi Terminaller Şube Müdürlüğü tarafından yayımlanan “Şehirlerarası Yolcu Taşıma Fiyat Listesi”ne göre, Kocaeli- İstanbul Anadolu Yakası otobüs bilet fiyatı 350 TL olduğu belirtildi. Avrupa Yakası için ise bilet fiyatı 450 TL olarak açıklandı. Ankara için bu rakam 650 TL, İzmir için 1200 TL, Antalya için 1100 TL Trabzon için 1500 TL oldu. Bilet fiyatları firmalara göre ise değişiklik gösteriyor.
İŞTE ŞEHİRLERARASI YOLCU TAŞIMA FİYAT LİSTESİ;
